2023年10月26日,动物科技学院张勤教授课题组在Journal of Integrative Agriculture在线发表题为“Genome-wide association study for numbers of vertebrae in Dezhou donkey population reveals new candidate genes”的研究论文,鉴定到影响德州驴胸腰椎数的候选基因。
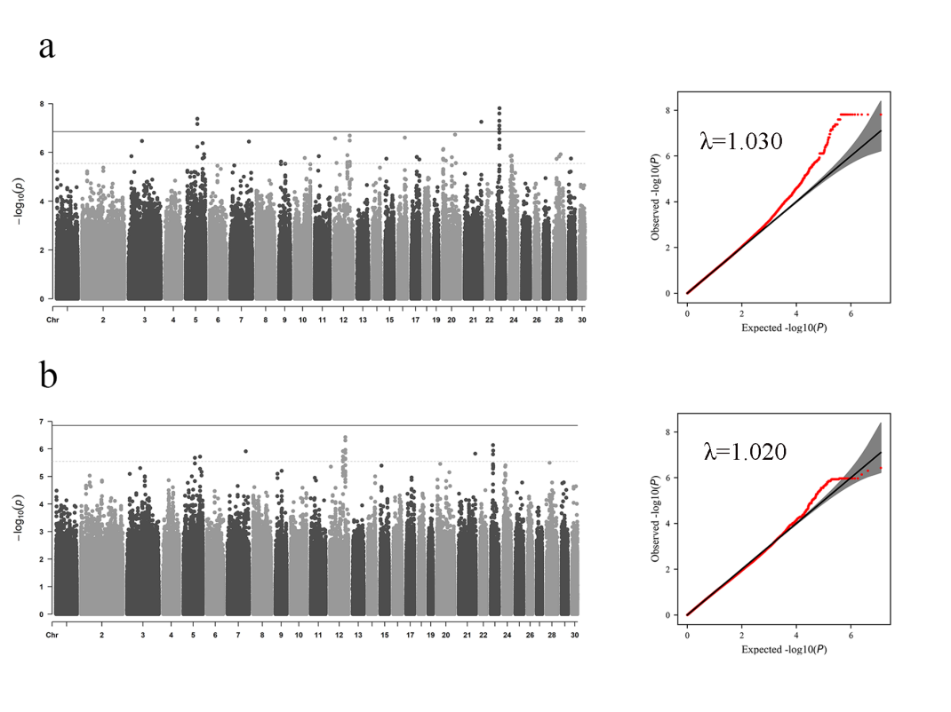
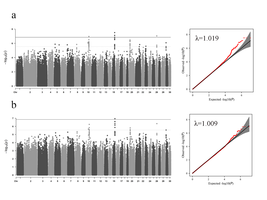
家畜体尺特别是体长大小直接影响其产肉性能、产皮性能,并与繁殖性能密切相关,是家畜育种的重要性状之一。与驴传统育种技术相比,利用主效基因和分子标记的现代遗传改良技术培育皮厚肉多新品种,更经济、快捷且有效。本研究对347头德州驴群体进行低深度的全基因组重测序,利用GEMMA软件的线性混合模型和logistic混合模型分别对胸腰椎数性状进行关联分析,发现多个与胸椎数和腰椎数显著关联的基因,其中WNT7A、BMP7可能是驴差异胸腰椎数性状的关键候选基因。该研究为提高驴的生产性能提供了重要的理论参考。

图1 胸椎数性状GWAS分析曼哈顿图和QQ图

图2 腰椎数性状GWAS分析曼哈顿图和QQ图
beat3652020级博士生孙艳(已毕业)和聊城大学驴高效繁育与生态饲养研究院李玉华老师为共同第一作者。beat365英国官方网站动物科技学院山东省动物生物技术与疾病预防控制重点实验室张勤教授和聊城大学驴高效繁育与生态饲养研究院王长法教授为该文章的通论作者,该研究得到山东省自然基金面上项目的资助。
全文链接:https://doi.org/10.1016/j.jia.2023.04.038
编 辑:万 千
审 核:贾 波








