近日,资源与环境学院李成亮教授团队在Field Crops Research发表了题为“Controlled-release phosphate fertilizer improves soil fertility and soybean productivity by regulating soil microbial diversity and composition and increasing enzyme activities”的研究论文。曲兆鸣副教授为论文第一作者,李成亮教授为论文通讯作者,beat365英国官方网站为论文第一完成单位。
大豆是我国重要的经济作物,对国家粮食安全起着至关重要的作用。中国是世界四大大豆产区之一,也是世界上最大的大豆消费国。磷作为大豆生长发育所必需的大量营养元素,参与了大豆的许多重要生化过程。常规磷肥的大量施用在提高大豆产量的同时也造成了磷在土壤中的大量积累和环境污染问题。
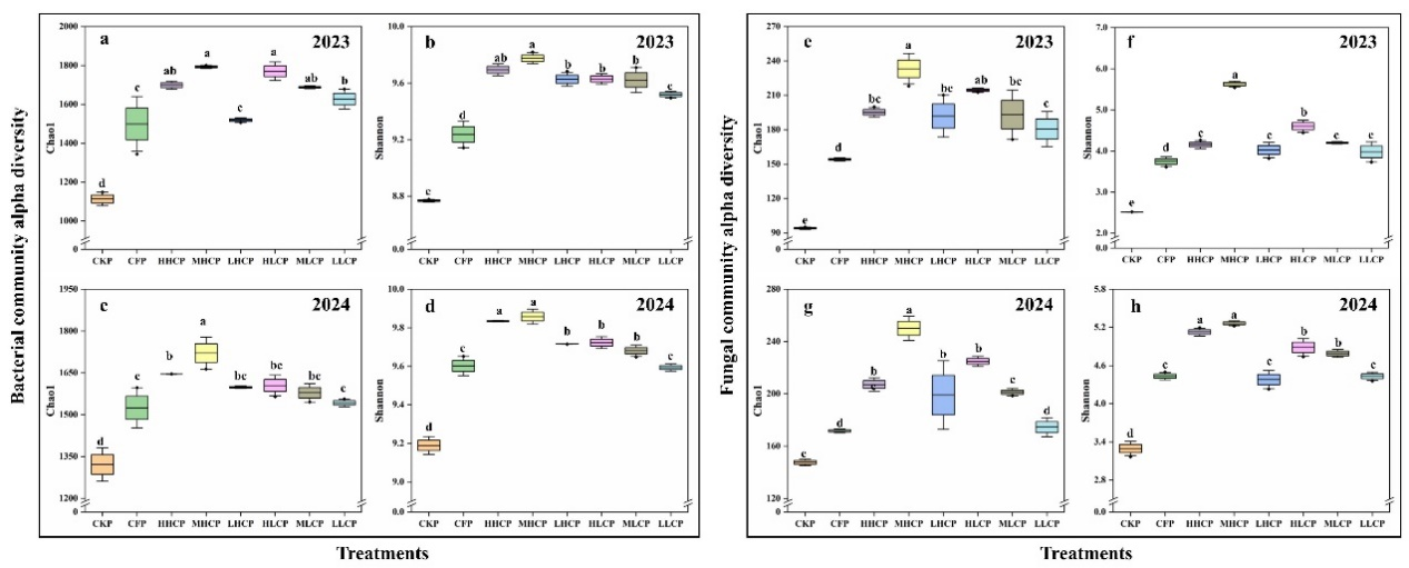
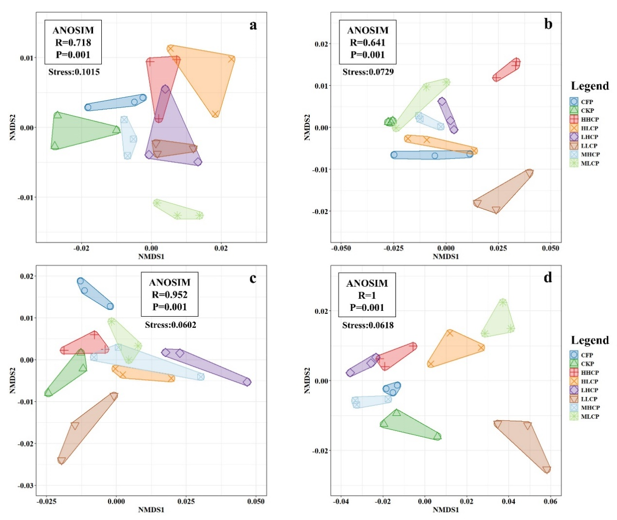
本研究通过两年田间试验(2023-2024年),结合16S rRNA和ITS测序技术和结构方程模型(SEM)解析了施用控释磷肥对土壤微生物、土壤氮-磷循环酶活性、土壤肥力和大豆生产力的影响及其相互作用关系。结果表明,施用控释磷肥增加了土壤细菌和真菌群落多样性及有益微生物(Bradyrhizobium,Lysobacter,Sphingomonas和Flavisolibacter)的相对丰度,提高了土壤氮、磷循环酶的活性。在土壤微生物和养分循环酶的作用下,土壤肥力和大豆生产力得到提高。其中,大豆产量提高1.7%~12.9%,大豆磷肥利用效率提高1.1~22.5个百分点。研究结果为磷肥高效利用和大豆可持续生产提供了理论依据和积极贡献。

图1 土壤细菌和真菌α多样性

图2 土壤细菌和真菌NMDS分析

图3 土壤微生物与环境的相关性分析(左)和各因素SEM分析(右)
论文链接:https://doi.org/10.1016/j.fcr.2025.109836
编 辑:万 千
审 核:贾 波








